НовостиСтатистика

Как сейчас выглядит экспорт из Беларуси через морские порты

О том, как пролегают маршруты экспортных грузов из Беларуси после утраты легитимной власти и наложения экономических санкций, а также определенные оценки колоссальных национальных потерь от этого можно, прочесть в публикациях на нашем сайте. Повторяться не будем, ссылки внизу.

Сегодня представляем некоторые данные по объемам экспортных беларуских грузов через порты соседних стран в сравнении до санкций и после. Данные не статистические и могут незначительно отличаться от реалий, но для анализа и понимания общей картины это не существенно (именно такие «оперативные» данные используются и БЖД и властями всех уровней для оценки и принятия решений, а статистика значительно позже их лишь уточняет). Гораздо интереснее и информативнее видеть динамику и перераспределение потоков грузов — это отражает ситуацию и дает представление о том, как изменяется логистика в условиях санкционных ограничений.

1 — Объем грузовых перевозок в порты Российской Федерации (сравнение за пять месяцев 2022 и 2023 гг.); 2 — Объем грузовых перевозок в порты стран-соседей (сравнение 2019 и 2020 гг.); 3 — Объем грузовых перевозок в порты стран-соседей (сравнение за два месяца 2020 и 2021 гг.):

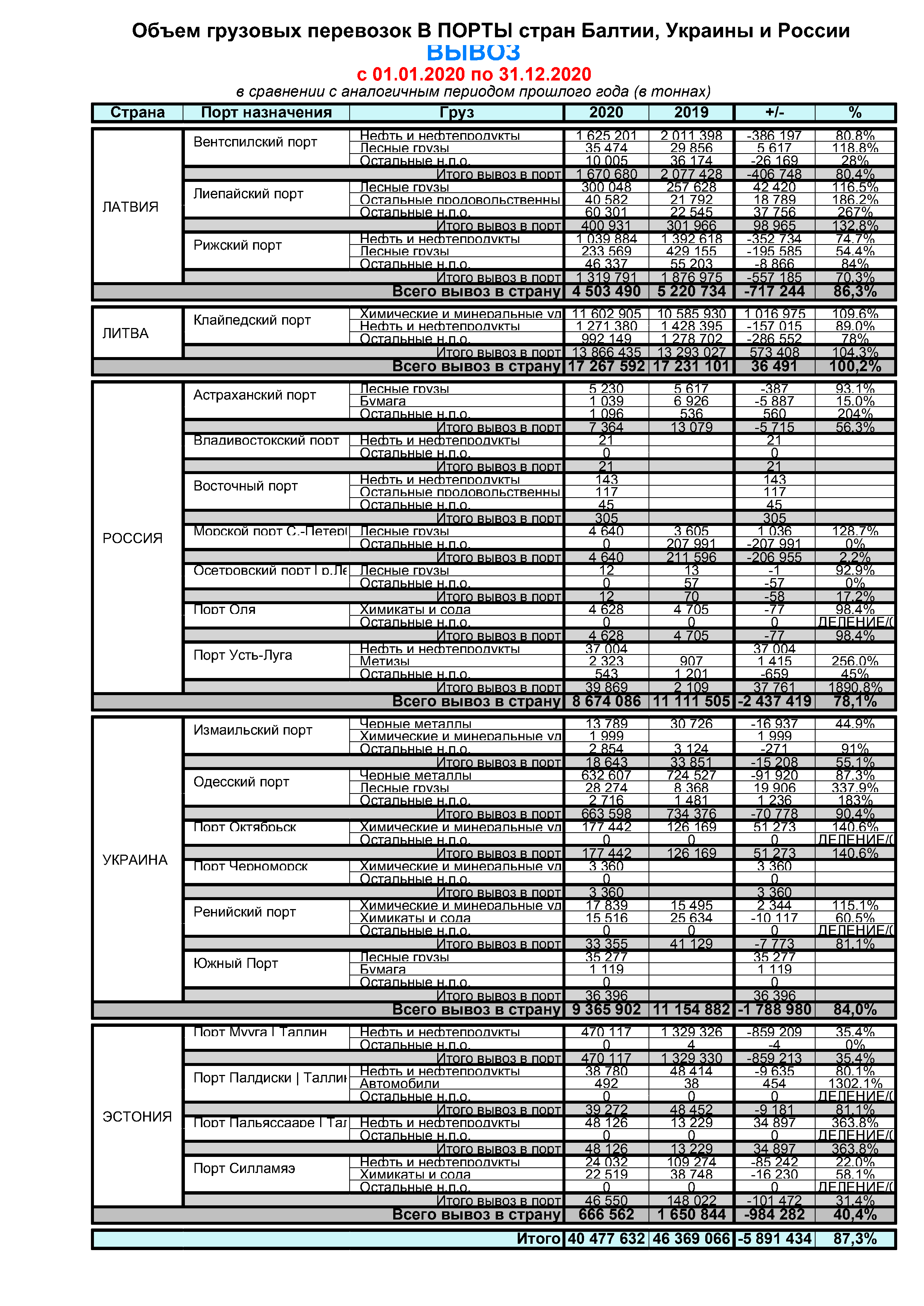
На графиках ниже четко видно, что в 2019 и 2020 годах экспорт грузов из Беларуси, следующих через морские порты, осуществлялся, соответственно, через:

  • Литву — 13293 тыс. тонн (доля 66%) и 13866 тыс. тонн (74%);
  • Латвию — 4256 тыс. тонн (21″%) и 3391 тыс. тонн (18%);
  • Эстонию — 1539 тыс. тонн (7%) и 604 тыс. тонн (3%);
  • Украину — 936 тыс. тонн (5%) и 933 тыс. тонн (5%);
  • Россию — 232 тыс. тонн (1%) и 57 тыс. тонн (менее 1%).

1 — Объемы перевозок грузов через порты России, кроме северо-западного региона за пять месяцев 2022 и 2023 гг., тонн; 2 — Объемы перевозок грузов через порты северо-западного региона России за пять месяцев 2022 и 2023 гг., тонн.

1 — Объемы перевозок грузов через порты стран — соседей в 2020 году, тонн; 2 — Объемы перевозок грузов через порты стран — соседей в 2019 году, тонн.

Похожее распределение экспорта устоялось в предыдущие годы и даже десятилетия, так как использовались наиболее конкурентные маршруты перевозок, приносящие максимальную выгоду. Причем за эти годы и инфраструктура используемых портов настроилась под потребности беларуского экспорта, в том числе за счет инвестиций от беларуских экспортеров, создававших ее в партнерстве с терминалами в портах. Потому и затраты на перевалку грузов в этих портах также становились все более привлекательными.

Также железными дорогами Беларуси и соответствующих стран — соседей целенаправленно развивалась железнодорожная инфраструктура и выстраивалась взаимовыгодная тарифная политика, позволяющая одним эффективно продавать, другим эффективно перевозить.

Узурпация власти в Беларуси, а также содействие агрессии России в Украине лишило национальную экономику всех этих возможностей и достижений. И в 2022 и 2023 годах перевозки экспортных грузов из Беларуси кардинально сменили маршруты.

За пять месяцев 2022 и 2023 гг. через порты России проследовало 1137 и 4845 тыс. тонн грузов соответственно. При том, что через порты Литвы, Латвии, Эстонии и Украины в 2019-2020 годах всего перевозилось 19-20 млн. тонн грузов, за пять месяцев 2023 года экспорт через порты России составил около 25% от указанных годовых объемов.

Если оценивать по наиболее массовым видам грузов — нефть и нефтепродукты и различные удобрения, то переориентирование этих грузов на порты России за пять месяцев 2023 года в сравнении с 2020 годом соответственно выглядит так: 2041 тыс. тонн (45% от 4517 тыс. тонн) и 2686 тыс. тонн (23% от 11800 тыс. тонн). Заметно, что особо активно и с опережающими темпами идет продажа и вывоз различных удобрений. Оно и понятно — это «недра» и их цена может быть снижена для покрытия потерь от удаленных в разы маршрутов через Россию за счет заработков беларусов. С нефтью и нефтепродуктами посложнее, ведь никто не продает ее Беларуси для переработки по заниженным ценам, а значит, и возможности для маневрирования ценой конечного продукта невелики.

Материалы по теме:

What’s your Reaction?
15
3
15
3
9
4
5

Похожие статьи

Подписаться
Уведомить о
0 комментариев
Старые
Новые Популярные
Межтекстовые Отзывы
Посмотреть все комментарии
Кнопка «Наверх»
0
Поделиться своими мыслямиx
Send this to a friend